To calculate result you have to disable your ad blocker first.
Binomial Expansion Calculator
Enter values for X, Y, and n for expansion of binomial term using binomial expansion calculator.
Binomial Expansion Calculator
Binomial expansion calculator expands the binomial expression using the binomial theorem.
Binomial theorem - Definition/Formula
For any positive integer n, the nth power of the sum of two numbers a and b may be expressed as the sum of n + 1 terms of the form.
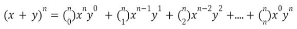
The equation of the binomial theorem is,

Where,
- n ≥ 0 is an integer,
- (n, k) is binomial coefficient.
The fully expanded form of higher exponents can also be calculated using the binomial expansion formula.
![]()
Examples of Binomial theorem:
Example:
What is the expanded form of binomial expression (3 + 5)^4?
Solution:
Step 1: Expand the expression:
![]()
Step 2: Find the values of binomial coefficients:
Step 3: put the values of coefficients and solve:

The binomial theorem calculator above will give the solution with steps.