To calculate result you have to disable your ad blocker first.
Sum of Series Calculator
Input the value of k (sequence) and n (number of terms) in the sum of a series calculator.
Table of Contents:
A series sum calculator is a tool devised to add the values of a series. On giving n it finds all of the n’s till that number and adds them. You can add a series of up to 9 terms or even 1000 terms using this calculator.
What is a series?
Series is the same as sequence and grows with a certain pattern. The only difference between sequence and series is that in series, we have a plus (+) symbol between the entries instead of a comma.

How to find the sum of a series?
To sum a series, we represent it as:

Here,
n is the number of terms also known as the upper limit.
K = 1 is referred to as starting value.
ki can be any function for example k2, (k+1)-(k3) e.t.c.
In the series sum calculator above, the starting value is 1 by default.
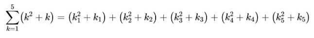
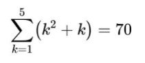
Example
Add a series for which
Upper limit n = 5
Starting value = 1
Function = k2+k
Solution:
Step 1: Write the series.

Step 2: Put the values.

Step 3: Add.
